尊敬的玩家:
您好!攻城掠地8月28日新版震撼上线之后,感谢大家火热积极的体验热情,更感谢在游戏过程中不断踊跃提出的宝贵建议。我们在深度梳理总结各位将军的问题建议后,攻城掠地全服(除今天开的新服之外)计划将在今天晚间(具体时间,请留意官方公告)进行临时维护更新,率先对结盟和包围任务两大系统进行优化。
※ 本次更新优化内容如下:
1. “结盟国家任务”
1) 任务逻辑优化
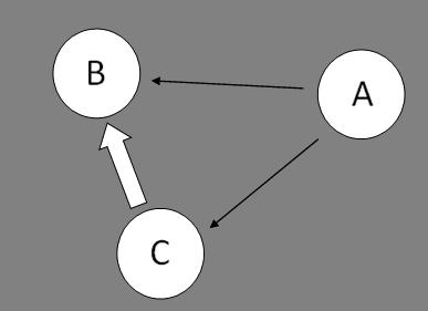
如下图,BC为弱国,A为强国,现在的任务为A打掉B的城,C协防。

之前逻辑:C直接打下B的城,则A任务失败,三个国家均无法获得奖励。
调整后为:若C直接打下B的城,则对于A,任务变为从C手上攻下该城。即:只要该城不属于A,则该任务一直进行,归属权在B、C之间互换不影响任务。
猎豹攻城掠地运营团队
2014年8月29日
游戏备案
互联网文化经营单位